শিক্ষক নিবন্ধন পরীক্ষার প্রস্তুতির শুরুটাই হওয়া উচিত বিগত বছরগুলোতে অনুষ্ঠিত হওয়া শিক্ষক নিবন্ধন পরীক্ষার প্রশ্ন সমাধান করার মাধ্যমে।
এতে করে আপনার শিক্ষক নিবন্ধন পরীক্ষায় আসা প্রশ্নের কাঠামো, গুরুত্বপূর্ণ টপিক, এবং এই প্রশ্নগুলোর উপর মডেল টেস্ট পরীক্ষায় অংশগ্রহণের মাধ্যমে পরীক্ষা হলে সময় ব্যবস্থাপনা সম্পর্কেও একটি গভীর ধারণা অর্জিত হয়।
আর আপনাদের সুবিধার্থে MCQ Aid আপনাদের জন্য নিয়ে এসেছে শতভাগ নির্ভুল এবং তথ্যবহুল ব্যাখ্যাসহ ১৮ তম শিক্ষক নিবন্ধন প্রশ্ন সমাধান PDF।
এখানে আপনি স্কুল পর্যায়, স্কুল পর্যায় – ২ এবং কলেজ পর্যায়ে অনুষ্ঠিত হওয়া ১৮ তম শিক্ষক নিবন্ধন প্রিলিমিনারি পরীক্ষার প্রশ্ন সমাধান PDF ফরম্যাটে পড়ার পাশাপাশি ডাউনলোড করে সংরক্ষণ করতে পারবেন।
১
কোনটি চলিত ভাষার নিজস্ব বিশেষ বৈশিষ্ট্য?
ব্যাখ্যা:❖ চলিত ভাষার বৈশিষ্ট্য:
• চলিত ভাষা হলো সাধারণ মানুষের মুখের ভাষা।
• চলিত ভাষায় দেশি-বিদেশি ও তদ্ভব ভাষার অধিক ব্যবহার লক্ষ করা যায়।
• এ ভাষা পরিবর্তনশীল, বক্তৃতা, ও নাটকের সংলাপে ব্যবহারের উপযোগী।
• চলিত রীতি সংক্ষিপ্ত ও সহজবোধ্য এবং ব্যাকরণের নিয়ম মেনে চলেনা।
❖ সাধু ভাষার বৈশিষ্ট্য:
• ব্যাকরণের নিয়ম মেনে চলে।
• সাধু ভাষা তৎসম শব্দবহুল ও গুরুগম্ভীর।
• পদবিন্যাস সুনিয়ন্ত্রিত ও সুনির্দিষ্ট।
• সর্বনাম ও ক্রিয়াপদ ইশেষ গঠন পদ্ধতি মেনে চলে।
রেফারেন্স: বাংলা ভাষার ব্যাকরণ, নবম ও দশম শ্রেণী, এনসিটিবি; ভাষা শিক্ষা, ড. হায়াৎ মামুদ।
২
‘Book Post’ এর পারিভাষিক রূপ কোনটি?
৩
‘পেয়ারা’ কোন ভাষা থেকে আগত শব্দ?
৪
যে সমাসে সমস্যমান প্রত্যেকটি পদের অর্থের সমান প্রাধান্য থাকে তাকে কোন সমাস বলে?
৫
নিচের কোনটি তদ্ধিত প্রত্যয়ের উদাহরণ?
সঠিক উত্তর:কহাত + ল = হাতল
৬
বাংলা ভাষায় যতি বা ছেদ চিহ্ন মোট কয়টি?
৭
‘নদের চাঁদ’ বাগধারাটির অর্থ কী?
সঠিক উত্তর:খঅহমিকাপূর্ণ নির্গুণ ব্যক্তি
৮
‘যার কোনো মূল্য নেই’ – সমার্থক বাগধারা কোনটি?
১১
‘চলচিত্র’ শব্দের সন্ধি বিচ্ছেদ কোনটি?
১২
সন্ধির প্রধান সুবিধা কী?
সঠিক উত্তর:খউচ্চারণের সুবিধা
১৩
‘পুকুরে মাছ আছে’ – এখানে পুকুর কোন কারক?
১৪
‘ডাক্তার ডাক’ – কোন কারকে কোন বিভক্তি?
ককর্তৃ কারকে শূন্য বিভক্তি
সঠিক উত্তর:খকর্ম কারকে শূন্য বিভক্তি
১৫
নিচের কোনটি নিত্য সমাস?
১৬
পৃথিবীর সমার্থক শব্দ কোনটি?
১৭
‘কৌমুদী’ শব্দের প্রতিশব্দ হলো-
১৮
‘যা বলা হয়নি’ – এক কথায় তাকে কী বলে?
১৯
‘চন্দ্র’ এর বিশেষণ রূপ কোনটি?
২০
কোন অব্যয় বিশেষ্য ও সর্বনাম পদের পরে যুক্ত হয়ে বিভক্তির কাজ করে?
২১
“A bolt from the blue” – বাক্যটির সঠিক বাংলা অনুবাদ কোনটি?
সঠিক উত্তর:গবিনা মেঘে বজ্রপাত
২২
‘আমি’ শব্দটি কোন লিঙ্গ?
২৪
কোনটির আগে স্ত্রীবাচক শব্দ যুক্ত করে লিঙ্গান্তর করতে হয়?
২৫
দুটি সমবর্ণের একটির পরিবর্তনকে কী বলে?
২৭
The police is looking ____ the mother.
২৮
The phrase ‘Man of parts’ means –
২৯
Select the same meaning-pragmatic.
৩০
Antonym of ‘Ally’ is –
৩১
Had I the wings of a bird! (make it assertive):
সঠিক উত্তর:কI wish I had the wings of a bird.
খI had the wings of a bird.
গI should have the wings of a bird.
ঘMay I have the wings of a bird.
৩২
He got ______ his illness in two weeks-
৩৩
My uncle arrived while I (cook) the dinner.
৩৪
He advised me (give) smoking.
৩৫
There is _______ tea in the cup.
৩৬
The old lady cannot help ________ a cup of tea.
৩৭
A true patriot can die ______ his country.
৩৮
What is lotted cannot be blotted (Active)
সঠিক উত্তর:খWe cannot blot what we must lot.
গWe must blot what we cannot lot.
ঘWe must be blotted what we cannot lot.
৩৯
Lingua franca means-
সঠিক উত্তর:কcommon language
৪০
The work is to be _______ immediately.
৪১
The word ‘Garrulous’ means-
সঠিক উত্তর:ঘtalking too much
৪২
কিছু করার আগে ভালো করে ভেবে নাও।
গThink before you do anything.
সঠিক উত্তর:ঘLook before you leap.
৪৩
What parts of speech is the word ‘Fatherly’?
৪৪
Your clock has run ______
৪৫
The noun form of approve is-
৪৬
লাইনটি কেটে দাও-
সঠিক উত্তর:ঘPen through the line
৪৭
Metro rail is one of the greatest achievements of Bangladesh. Find out the correct sentence.
কMetro rail is a very great achievement of Bangladesh.
সঠিক উত্তর:খVery few achievements of Bangladesh are as great as Metro rail.
গMetro rail is greater than any other achievement of Bangladesh.
ঘNo other achievement of Bangladesh is as great as Metro rail.
৪৮
The synonym of ‘Franchise’ is –
সঠিক উত্তর:ঘall of the above
৪৯
Choose the direct speech of the sentence: She told me to stand up.
কShe said, “Do stand up”.
গShe said me, “Stand up”.
সঠিক উত্তর:ঘShe said to me, “Stand up”.
৫০
He said that he _____ the previous day.
৫১
লাবিব, রামিম ও জিদানের বয়সের গড় অপেক্ষা লাবিব, রামিম ও শাফিনের বয়সের গড় ৫ বছর কম। শাফিনের বয়স ২০ বছর হলে জিদানের বয়স কত?
৫২
দুইটি দলের সদস্য সংখ্যার ল.সা.গু ৯০ ও গ.সা.গু ১৫ হলে উভয় দলের সদস্য মোট কত জন?
৫৩
কাফি ও খলিল একটি কাজ যথাক্রমে ১০ দিনে ও ১৫ দিনে করতে পারে। তারা একত্রে কাজটি কত দিনে করতে পারবে?
৫৪
একটি লাঠির মোট দৈর্ঘ্যের ৪০% এর সাথে ৪৫ মিটার যোগ করলে সম্পূর্ণ লাঠির দৈর্ঘ্য পাওয়া যায়। লাঠিটির দৈর্ঘ্য কত?
৫৫
বার্ষিক শতকরা (২৫/২)% সুদে কত টাকার ৪ বছরের সুদ ১০০ টাকা হবে?
৫৬
৫ টাকায় ৮ টি কলা ক্রয় করে ৫ টাকায় ৬ টি কলা বিক্রি করলে শতকরা কত টাকা লাভ হবে?
ব্যাখ্যা:৮ টি কলার ক্রয়মূল্য = ৫ টাকা
∴ ১ টি কলার ক্রয়মূল্য = ৫/৮ টাকা
আবার, ৬টি কলার বিক্রয়মূল্য = ৫ টাকা
∴ ১টি কলার বিক্রয়মূল্য = ৫/৬ টাকা
তাহলে, লাভ = (৫/৬) – (৫/৮) টাকা
= (২০ – ১৫)/২৪ = ৫/২৪ টাকা
এখন, ৫/৮ টাকায় ক্ষতি হয় = ৫/২৪ টাকা
∴ ১০০ টাকায় ক্ষতি হয় = (৮ × ৫ × ১০০)/(২৪ × ৫) টাকা
= ১০০/৩ টাকা
=
টাকা বা,
৫৭
একটি জারে দুধ ও পানির অনুপাত ৫ : ১। দুধের পরিমাণ যদি পানি অপেক্ষা ৮ লিটার বেশি হয় তবে পানির পরিমাণ কত লিটার?
৫৮
x3 + 6x2y + 11xy2 + 6y3 এর উৎপাদক নিচের কোনটি?
সঠিক উত্তর:ক(x + y)(x + 2y)(x + 3y)
গ(x – y) (x – 2y)(x + 3y)
৫৯
x = √5 + √4 হলে x2 + (1/x2) এর মান কত?
৬০
18(x + y)3, 24(x + y)2 এবং 32(x2 – y2) এর গ.সা.গু কোনটি?
৬১
ব্যাখ্যা:(-27)4/3
= (-33)4/3
= (-3)(4/3) × 3
= (-3)4
= 81
৬২
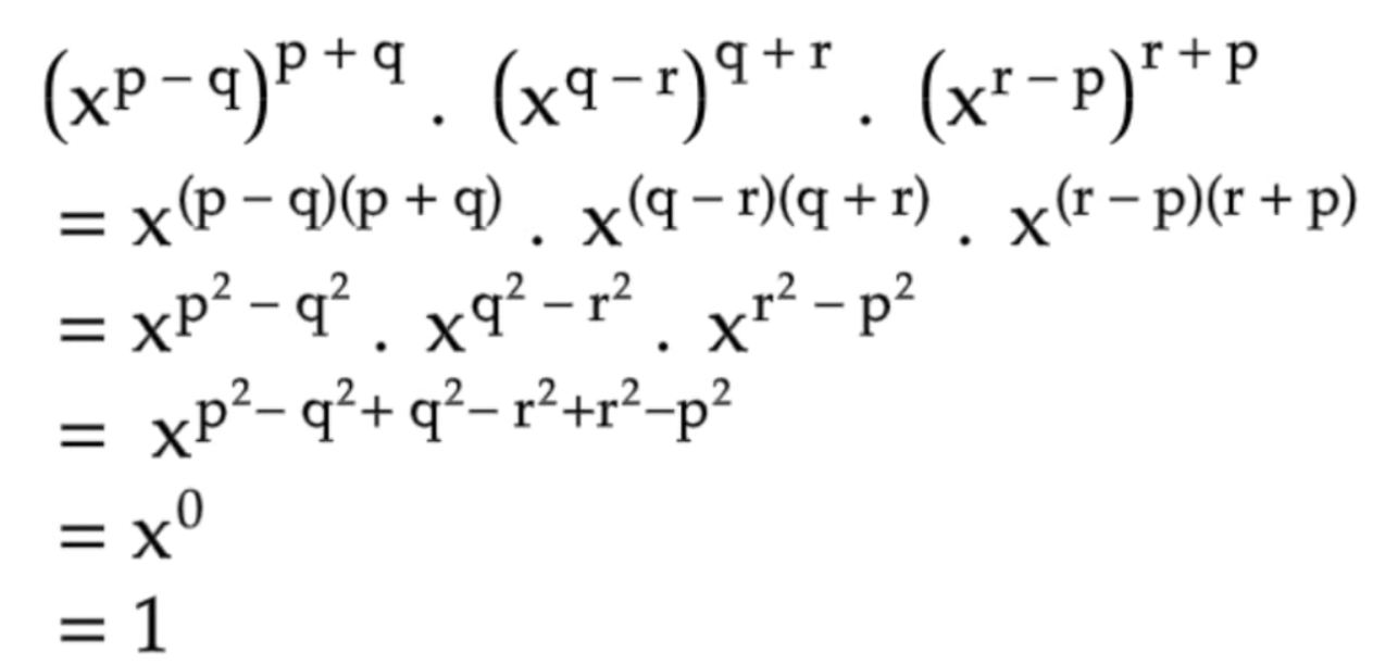
(xp-q)p+q . (xq-r)q+r . (xr-p)r+p = কত?
ব্যাখ্যা:
৬৩
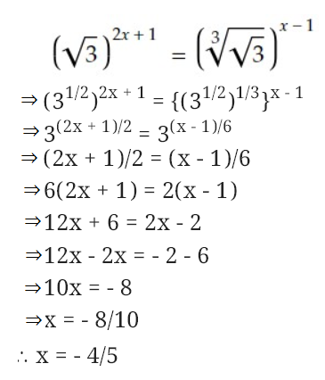
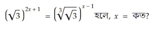
log10x = – 2 হলে x এর মান কত?
৬৪
(log10x)2 = log10x2 হলে x এর মান কত?
৬৫
একটি আয়তক্ষেত্রের পরিসীমা 40 মিটার। এর প্রস্থ 5 মিটার হলে, দৈর্ঘ্য কত মিটার হবে?
৬৬
একটি সমকোণী ত্রিভুজের সূক্ষ্মকোণ দুইটি 30° ও 60°; ত্রিভুজটির বাহু তিনটির অনুপাত কত?
৬৭
কোনো বৃত্তের যে কোনো একটি চাপের কেন্দ্রস্থ কোণ 30° হলে ঐ বৃত্তচাপের বৃত্তস্থ কোণের পূরক কোণের মান কত?
৬৮
1 সে.মি., 2 সে.মি., 3 সে.মি. ও 4 সে.মি. দৈর্ঘ্যবিশিষ্ট চারটি রেখাংশ দ্বারা কয়টি ত্রিভুজ অংকন করা যাবে?
৬৯
5 সে.মি. ব্যাসার্ধবিশিষ্ট বৃত্তের কেন্দ্র থেকে 4 সে.মি. দূরবর্তী জ্যা এর দৈর্ঘ্য কত সে.মি.?
৭০
একটি বর্গক্ষেত্রের বাহুর দৈর্ঘ্য ৪ সে.মি.। ঐ বর্গক্ষেত্রের কর্ণের উপর অঙ্কিত বর্গক্ষেত্রের ক্ষেত্রফল কত বর্গ সে.মি.?
৭১
বৃত্তের কোনো উপচাপে অন্তর্লিখিত কোণটি-
৭২
একটি আয়তক্ষেত্রের দৈর্ঘ্য প্রস্থের দেড়গুণ। ক্ষেত্রফল 216 বর্গমিটার হলে, তার পরিসীমা কত মিটার?
৭৩
ক : খ = ৪ : ৫ এবং খ : গ = ৭ : ৮ হলে ক : গ = কত?
৭৪
– 2x² + 4x – 5 রাশিটির সর্বোচ্চ মান কত?
৭৫
PQ রেখাংশকে R বিন্দুতে এমনভাবে অন্তর্বিভক্ত করা হলো যেন PQ : PR = PR : QR হয় যখন PR > QR; সমানুপাতটি কত?
৭৬
বঙ্গবন্ধু টানেলের দৈর্ঘ্য কত?
৭৭
বাংলাদেশের বৃহত্তম ব-দ্বীপ কোন জেলা?
৭৮
কোন সাময়িকী প্রধানমন্ত্রী শেখ হাসিনাকে এশিয়ার আয়রন লেডি খেতাবে ভূষিত করে?
সঠিক উত্তর:কদ্য ইকোনমিস্ট
৭৯
বাংলাদেশের রূপপুর পারমাণবিক প্রকল্পের সহায়তাকারী দেশ কোনটি?
৮০
মহাস্থান গড় কোন নদীর তীরে অবস্থিত?
৮১
১৯৭১ সালে মুক্তিযুদ্ধে বিশেষ অবদানের জন্য কোন দুই নারীকে ‘বীরপ্রতীক’ উপাধিতে ভূষিত করা হয়?
কতারামন বিবি ও ময়মুনা বিবি
খসিতারা বেগম ও ময়মুনা বিবি
সঠিক উত্তর:গতারামন বিবি ও সিতারা বেগম
ঘময়মুনা বিবি ও তারামন বিবি
৮৩
বাংলাদেশে প্রথম আদমশুমারী হয় কবে?
৮৪
বঙ্গভঙ্গ রদ করা হয় কত সালে?
৮৫
নিচের কোন কর্মসূচিকে ম্যাগনাকার্টা হিসেবে গণ্য করা হয়?
৮৬
হিজবুল্লাহ কোন দেশভিত্তিক সংগঠন –
৮৭
জাপানের পার্লামেন্টের নাম কী?
৮৮
‘ফিফা বিশ্বকাপ ২০২৬’ কোথায় অনুষ্ঠিত হবে?
সঠিক উত্তর:কযুক্তরাষ্ট্র, কানাডা, মেক্সিকো
খজেনেভা, রাশিয়া, ফ্রান্স
গভিয়েনা, অস্ট্রিয়া, ভেনিজুয়েলা
৮৯
SDG জাতিসংঘের কততম সাধারণ পরিষদে গৃহীত হয়?
৯০
থাইল্যান্ডের মুদ্রার নাম কী?
৯১
২০২৩ সালে শান্তিতে নোবেল পুরস্কার লাভ করেন কে?
সঠিক উত্তর:খনার্গিস মোহাম্মদী
৯২
IMF-এর সদর দপ্তর কোথায়?
সঠিক উত্তর:কওয়াশিংটন ডিসি
৯৩
জাতিসংঘের প্রথম মহাসচিব কে?
৯৪
জ্বালানী তেল উৎপাদনে শীর্ষে কোন দেশ?
৯৫
‘লেইস ফেয়ার’ নীতি নিচের কোনটির সাথে সম্পর্কযুক্ত?
৯৬
কোনটি জলবায়ুর উপাদান নয়?
৯৭
সবজি চাষ বিদ্যাকে কী বলে?
৯৮
বাংলাদেশে সবচেয়ে কম ভূমিকম্প ঝুঁকিপূর্ণ অঞ্চল কোনটি?
সঠিক উত্তর:গদক্ষিণ-পশ্চিম
৯৯
রক্তে Platelet-এর কাজ কী?
সঠিক উত্তর:গরক্ত জমাট বাঁধতে সাহায্য করে
ঘরক্তে PH এর নির্ধারণ করে
১০০
কম্পিউটার থেকে কম্পিউটারে তথ্য আদান-প্রদানকে কী বলা হয়?
১
চলিত রীতিতে সর্বনাম ও ক্রিয়া কেমন হয়?
২
কোনো অংশ বাদ দিতে চাইলে কোন চিহ্ন বসবে?
৪
‘Memorandum’-এর পরিভাষা কী?
৫
সাধু ও চলিত রীতির শব্দ একই বাক্যে ব্যবহার করলে তাকে কি বলে
৬
‘আমড়াগাছি করা’ কি বুঝাতে ব্যবহার করা হয়?
৭
হাইফেন কোথায় বসে?
কদুই বাক্যের সংযোগ দেখাতে।
সঠিক উত্তর:খদুই শব্দের সংযোগ দেখাতে।
গবাক্যে উদ্ধৃতি প্রয়োগ করতে।
ঘউক্তি বা প্রত্যুক্তি বোঝাতে।
৮
‘Look before you leap’-এর সঠিক অনুবাদ কোনটি?
সঠিক উত্তর:খভাবিয়া করিও কাজ।
৯
‘সর্বনাশ’ অর্থে কোন বাগধারাটি যথোপযুক্ত?
১০
নিচের কোন বাক্যরূপটি শুদ্ধ?
সঠিক উত্তর:খসৎ চরিত্রের লোক সকলের প্রিয়।
ঘআমি ঘটনাটি চাক্ষুষ প্রত্যক্ষ করেছি।
১১
‘অনাথ’-এর স্ত্রীলিঙ্গ কী?
১২
‘যে নারীর হাসি পবিত্র’-তাকে কী বলে?
১৪
‘আমি কি ডরাই সখি ভিখারী রাঘবে?’ বাক্যে ‘রাঘবে’ শব্দটি কোন কারকে কোন বিভক্তি?
সঠিক উত্তর:খঅপাদানে সপ্তমী
১৫
‘তিলে তেল আছে’ – বাক্যে ‘তিলে’ কোন কারকে কোন বিভক্তি?
সঠিক উত্তর:কঅধিকরণে সপ্তমী
১৬
‘কুন্তল’ শব্দের সমার্থক শব্দ কোনটি?
১৭
‘আত্মজা’ শব্দের সমার্থক শব্দ নয় কোনটি?
১৮
‘ভূত’ শব্দের বিপরীতার্থক শব্দ কী?
১৯
‘সন্ধি’ শব্দের অর্থ কী?
২০
‘সতীশ’ শব্দের সন্ধি বিচ্ছেদ কী হবে?
২১
‘মাতা’ শব্দের সঠিক প্রকৃতি-প্রত্যয় কোনটি?
সঠিক উত্তর:ক√ মা + তৃচ/তা
২২
‘কর পল্লবের ন্যায়’ – ব্যাসবাক্যটি কোন সমাস?
সঠিক উত্তর:খউপমিত কর্মধারয়
২৪
‘বর্ধমান’ শব্দের সঠিক প্রকৃতি প্রত্যয় কোনটি?
২৫
‘অনাবিল’ শব্দের বিপরীত শব্দ কোনটি?
২৬
Translate the sentence into English-
“তার সব চেষ্টাই ব্যর্থ হলো”
সঠিক উত্তর:কAll his efforts ended in smoke.
খAll his efforts ended in the smoke.
গAll his efforts ended in a smoke.
ঘAll his efforts ended in smoking.
২৭
Being “down to earth” means –
২৮
We should respect our teacher. (Imperative)
সঠিক উত্তর:খLet us respect our teacher.
গWe may not hate our teacher.
ঘOur teacher should be respected.
২৯
Man hardly believes a liar, ____ ?
৩০
Verb form of the word ‘apology’ is-
৩১
A person whose head is in the clouds is –
সঠিক উত্তর:খa day dreamer
৩২
Curd is made ____ milk.
৩৩
It is high time we (change) our food habit. Here the correct form of verb is-
৩৪
The idiom ‘bring to book’ means –
কBook written by a famous writer
৩৫
We eat to live. (complex)
কWe eat and want to live.
সঠিক উত্তর:খWe eat so that we may live.
গWe eat so that we could live.
ঘAlthough we eat, we live.
৩৬
He behaved as though he ____ everything.
৩৭
Too many cooks spoil the –
৩৮
The antonym of ‘Honorary’ is-
৩৯
Put the right word in the blank. “He reached the
____ of his literary career.
৪০
No one can ___ that he is clever.
৪১
“ভাসা ভাসা পড়ায় কাজ হবে না”। The correct English translation of the sentence is –
কReading by fits and starts will not do.
সঠিক উত্তর:খReading by a bird’s eye view will not do.
গReading at a glance will not do.
ঘReading intermittently will not do.
৪২
‘Tooth and nail’ means –
৪৩
Antonym for ‘Adieu’ is –
৪৪
Which poet is known as the “Poet of Nature”?
সঠিক উত্তর:খWilliam Wordsworth
৪৫
He said that he was innocent. (simple)
কHe said and he was innocent.
খHe was innocent so he said it.
গThat he was innocent was said by him.
সঠিক উত্তর:ঘHe declared his innocence.
৪৬
I am looking forward to ____ you.
৪৭
He lives ____ honest means.
৪৮
The new job offer was alluring. Here ‘alluring’ means-
৪৯
The main objective of a ‘conjunction’ is –
৫০
Reza ran fast lest he ____ the train.
৫১
দুটি সংখ্যার অনুপাত ৫ : ৬ এবং তাদের গ.সা.গু ৪ হলে সংখ্যা দুটির ল.সা.গু কত?
৫২
10 টি সংখ্যার যোগফল 380। এদের প্রথম 4 টির গড় 40 এবং শেষ 5 টির গড় 30 হলে; ৫ম সংখ্যাটি কত?
৫৩
রিতু ও সিতু একটি কাজ একত্রে ৮ দিনে করতে পারে। তারা ৬ দিন কাজ করার পর সিতু চলে গেল। কাজটির কত অংশ বাকি থাকবে?
৫৪
পিতার বর্তমান বয়স পুত্রের বয়সের তিন গুণ। 5 বছর পূর্বে পিতার বয়স, পুত্রের বয়সের চারগুণ ছিল। পিতা ও পুত্রের বর্তমান বয়স কত?
৫৫
একটি গাড়ির চাকা প্রতি মিনিটে 10 বার ঘুরে। চাকাটি 5 সেকেন্ডে কত ডিগ্রি ঘুরে?
৫৬
৪টি আপেল ২০ টাকায় কিনে ৩০ টাকায় বিক্রি করলে কত শতাংশ লাভ হয়?
৫৭
8 টি দ্রব্য 5 টাকায় ক্রয় করে, 16 টি দ্রব্য কত টাকায় বিক্রয় করলে 10% লাভ হবে?
৫৮
a3 + 3√3 এর উৎপাদক নিচের কোনটি?
৫৯
x/y এর সাথে কত যোগ করলে যোগফল x(1 + y)/y হয়?
৬০
log497 + log√77 এর মান কত?
৬১
ব্যাখ্যা:
৬২
4(a + b), 10(a – b) এবং 12(a2 – b2) এর গ.সা.গু কত?
৬৩
দুটি সংখ্যার যোগফল, তাদের বিয়োগফলের দ্বিগুণ। সংখ্যা দুটির অনুপাত কত?
৬৪
একটি বৃত্তের ব্যাসার্ধ 17 সে.মি. হলে এর পরিধি কত?
৬৫
p + q = √3 এবং p – q = √2 হলে, pq = কত?
৬৬
35 বর্গ সে.মি. ক্ষেত্রফলবিশিষ্ট একটি আয়তক্ষেত্রের দৈর্ঘ্য x সে.মি. এবং প্রস্থ (x – 2) সে.মি. হলে, x এর মান কত?
৬৭
একটি কোণের 4 গুণ 180° হলে, তার সম্পূরক কোণ কত?
৬৮
দুটি ক্রমিক সংখ্যার বর্গের অন্তর 119 হলে, ছোট সংখ্যাটি কত?
৬৯
একটি রেখাংশের উপর অঙ্কিত বর্গক্ষেত্র ঐ রেখাংশের এক তৃতীয়াংশের উপর অঙ্কিত বর্গক্ষেত্রের কত গুণ?
৭০
(x/5)p = 1 হলে, p এর মান কত?
৭১
একটি খাড়া খুঁটি মাটি থেকে 5 মিটার উপরে ভেঙ্গে বিচ্ছিন্ন না হয়ে অন্যপ্রান্ত ভূমিতে 5 মিটার দূরত্বে স্পর্শ করলে, খুঁটিটির উচ্চতা কত?
৭২
একটি বর্গক্ষেত্রের এক বাহুর দৈর্ঘ্যের দ্বিগুণ 6 একক হলে, এর কর্ণের দৈর্ঘ্যের দ্বিগুণ কত একক?
৭৩
কোনো ত্রিভুজের তিনটি বাহুকে বর্ধিত করলে উৎপন্ন বহিঃস্থ কোণ তিনটির সমষ্টি কত হবে?
৭৪
নাজিম ২ বছরের জন্য ৩০০ টাকা এবং ৫ বছরের জন্য ৫০০ টাকা ঋণ নিল এবং মোট ১৫৫ টাকা সুদ দিল। উভয় ক্ষেত্রে সুদের হার সমান হলে, সুদের হার কত ছিল?
৭৫
x + y = 3, x2 + y2 = 5 হলে, x3 + y3 = ?
৭৬
বাংলাদেশের একমাত্র পাহাড়বিশিষ্ট দ্বীপ –
৭৭
বন-জঙ্গল ধ্বংস করার ফলে বায়ুমণ্ডলে কোন গ্যাসের পরিমাণ বৃদ্ধি পাচ্ছে
৭৮
বাংলাদেশের আবাদী জমির কতটুকুতে ধানের চাষ হয়?
৭৯
নিম্নলিখিত কোন জেলায় জন সংখ্যার ঘনত্ব সবচেয়ে কম?
৮০
বাঙালি জাতীয়তাবাদের মূল ভিত্তি হলো –
সঠিক উত্তর:কভাষা ও সংস্কৃতি
৮১
রাষ্ট্রের সর্বাপেক্ষা গুরুত্বপূর্ণ উপাদান হলো –
৮২
প্রথম ডিজিটাল জনশুমারী ও গৃহ গণনা অনুযায়ী দেশের মোট উপজেলা কয়টি?
৮৩
পদ্মা সেতু দিয়ে যাত্রীবাহী ট্রেনের বাণিজ্যিক চলাচল শুরু হয় কবে?
সঠিক উত্তর:গ১ নভেম্বর ২০২৩
৮৪
দেশের প্রথম ‘এলিফ্যান্ট ওভারপাস’ কোথায় অবস্থিত?
সঠিক উত্তর:খলোহাগাড়া, চট্টগ্রাম
৮৫
২০২৩ সালের বিশ্বকাপ ক্রিকেটে বাংলাদেশের হয়ে প্রথম সেঞ্চুরি করেন কে?
সঠিক উত্তর:খমাহমুদুল্লাহ রিয়াদ
৮৬
একাদশ জাতীয় সংসদের শেষ অধিবেশন শুরু হয় কখন?
সঠিক উত্তর:গ২২ অক্টোবর, ২০২৩
৮৭
জন্ম ও মৃত্যু নিবন্ধনের শর্টকোড কোনটি?
৮৮
শেখ মুজিবুর রহমান ‘বঙ্গবন্ধু’ উপাধিতে ভূষিত হন কবে?
সঠিক উত্তর:খ২৩ ফেব্রুয়ারি ১৯৬৯
৮৯
“প্রজাতন্ত্রের রাষ্ট্রভাষা বাংলা\” বাংলাদেশের সংবিধানের কত নং অনুচ্ছেদে উল্লেখ করা হয়েছে?
৯০
দেশের প্রথম বায়ু বিদ্যুত কেন্দ্র কোন জেলায় অবস্থিত?
৯১
কোনটি নবায়ন যোগ্য সম্পদ?
৯২
কোন প্রযুক্তিটি চতুর্থ শিল্প বিপ্লবের সাথে সম্পৃক্ত নয়?
৯৩
বজ্রবৃষ্টির ফলে মাটিতে উদ্ভিদের কোন খাদ্য উপাদান বৃদ্ধি পায়?
৯৪
‘V-20’ গ্রুপ কীসের সাথে সম্পর্কিত?
সঠিক উত্তর:কজলবায়ু পরিবর্তন
৯৫
কোন দেশটি এশিয়া মহাদেশের অন্তর্ভুক্ত নয়?
৯৬
‘পালাউ’ দেশটি কোন মহাদেশে অবস্থিত?
৯৭
২০২৩ সালে শান্তিতে নোবেল পুরস্কার লাভ করেন কে?
সঠিক উত্তর:কনার্গিস মোহাম্মদি
৯৮
বিশ্ব স্বাস্থ্য সংস্থা (WHO) বাংলাদেশকে কোন রোগ মুক্ত ঘোষণা করেছে?
৯৯
টেকসই উন্নয়ন লক্ষ্যমাত্রা (SDGS) কয়টি?
১০০
বাংলাদেশ স্কয়ার কোথায় অবস্থিত?
১
বাংলা ভাষার আদি নিদর্শন কোনটি?
ব্যাখ্যা:বাংলা ভাষার আদি নিদর্শন ও একমাত্র লিখিত নিদর্শন হলো চর্যাপদ।
▣ চর্যাপদ:
▪ এটি মূলত গানের সংকলন বা সাধন সংগীত, যা বৌদ্ধ সহজিয়াগণ রচনা করেন।
▪ ১৯০৭ খ্রিস্টাব্দে মহামহোপাধ্যায় হরপ্রসাদ শাস্ত্রী নেপাল রাজদরবারের গ্রন্থাগার (রয়েল লাইব্রেরি) থেকে এটি আবিষ্কার করেন।
▪ চর্যাপদের পদ সংখ্যা নিয়ে মতবিরোধ আছে। সুকুমার সেনের হিসাবে ৫১টি পদ এবং মুহম্মদ শহীদুল্লাহর মতে ৫০টি পদ।
▪ সুকুমার সেনের মতে চর্যাপদের কবির সংখ্যা ২৪ জন এবং মুহম্মদ শহীদুল্লাহর মতে ২৩ জন।
▪ চর্যাপদের পদগুলো আধুনিক ছন্দের বিচারের মাত্রাবৃত্ত ছন্দের অধীন বিবেচনা করা হয়।
অন্যদিকে,
▪ ‘শ্রীকৃষ্ণকীর্তন’ হলো সর্বজনস্বীকৃত খাঁটি বাংলা ভাষায় রচিত মধ্যযুগের প্রথম কাব্য।
▪ ‘বঙ্গবাণী’ হলো কবি আবদুল হাকিম রচিত একটি কবিতা।
▪ ‘অন্নদামঙ্গল কাব্য’ হলো মধ্যযুগে (১৭৫২-৫৩ সালে) ৩ খণ্ডে রচিত ভারতচন্দ্র রায়গুণাকরের মঙ্গলকাব্য।
রেফারেন্স: বাংলা ভাষা ও সাহিত্য জিজ্ঞাসা, ড. সৌমিত্র শেখর।
২
ব্যাখ্যা:❖ ভারতচন্দ্র রায়ণ্ডণাকর:
▪ তিনি ছিলেন মধ্যযুগে বাংলা সাহিত্যের শেষ ও শ্রেষ্ট কবি ।
▪ তার প্রথম ও শ্রেষ্ঠ কাব্য ‘পদ্মবতী’।
▪ তিনি নবদ্বীপের রাজা কৃষ্ণচন্দ্রের সভাকবি ছিলেন এবং তার আদেশে ‘অন্নদামঙ্গল’ কাব্য রচনা করেছিলেন।
▪ রাজা কৃষ্ণচন্দ্র ভারতচন্দ্রকে ‘রায়গুণাকর’ উপাধি দিয়েছিলেন।
▪ মুকুন্দরাম চক্রবর্তী দুঃখবর্ণনার কবি হিসেবে খ্যাত; তিনি জমিদার রঘুনাথ রায়ের পৃষ্ঠপোষকতায় মঙ্গলকাব্যধারার শ্রেষ্ঠ কাব্য চণ্ডীমঙ্গল রচনা করে ‘কবিকঙ্কণ’ উপাধি লাভ করেন
রেফারেন্স: বাংলা ভাষা ও সাহিত্য জিজ্ঞাসা, ড. সৌমিত্র শেখর।
৩
যুগসন্ধিক্ষণের কবি হিসেবে পরিচতি কে?
ব্যাখ্যা:❖ ঈশ্বরচন্দ্র গুপ্ত:
▪ তিনি ছিলেন একজন কবি ও সাংবাদিক।
▪ তিনি যুগসন্ধিক্ষণের কবি অর্থাৎ মধ্যযুগ ও আধুনিক যুগের মিলনকারী কবি হিসেবে পরিচিত।
▪ তাঁর ছদ্মনাম- ভ্রমণকারী বন্ধু।
▪ ১৮৩১ সালে তিনি প্রথম বাংলা দৈনিক পত্রিকা ‘সংবাদ প্রভাকর’ প্রতিষ্ঠা করেন। এটি প্রথমে সাপ্তাহিক পত্রিকা থাকলেও ১৮৩৯ সালে দৈনিক পত্রিকা হিসেবে আত্মপ্রকাশ করে।
রেফারেন্স: বাংলাপিডিয়া এবং বাংলা ভাষা ও সাহিত্য জিজ্ঞাসা, ড. সৌমিত্র শেখর।
৪
চতুর্দশপদী কবিতা বা সনেটের প্রবর্তক কে?
ব্যাখ্যা:❖ মাইকেল মধুসূদন দত্ত:
▪ বাংলা সাহিত্যে সনেটের প্রবর্তন করেন মাইকেল মধুসূদন দত্ত।
▪ তিনি ১৮২৪ সালের ২৫ জানুয়ারি যশোর জেলার কপোতাক্ষ নদের তীরে সাগরদাঁড়ি গ্রামে জন্মগ্রহণ করেন।
▪ তাঁর রচিত প্রথম কাব্যগ্রন্থ ‘দ্য ক্যাপটিভ লেডি’ (ইংরেজিতে)।
▪ তিনি ছিলেন অমিত্রাক্ষর ছন্দের প্রবর্তক। অমিত্রাক্ষর ছন্দ প্রথম প্রয়োগ করেন তাঁর পদ্মাবতী নাটকে এবং অমিত্রাক্ষর ছন্দে রচিত প্রথম কাব্যগ্রন্থ ‘তলোত্তমাসম্ভব’ কাব্য।
▪ তাঁর উল্লেখযোগ্য কাব্যগ্রন্থসমূহ- তিলোত্তমাসম্ভব কাব্য, ব্রজাঙ্গনা, মেঘনাদবধ কাব্য, বীরাঙ্গনা, চতুর্দশপদী কবিতাবলী।
রেফারেন্স: বাংলাপিডিয়া এবং বাংলা ভাষা ও সাহিত্য জিজ্ঞাসা, ড. সৌমিত্র শেখর।
৫
ব্যাখ্যা:▪ শুদ্ধ বানান: নিশীথিনী।
▪ নিশীথিনী (বিশেষ্য) শব্দের অর্থ: গভীর রাত, রাত, রজনি।
▪ নিশীথিনী একটি সংস্কৃত শব্দ।
রেফারেন্স: আধুনিক বানান অভিধান, বাংলা একাডেমি।
৬
‘রিক্সা’ কোন ভাষার শব্দ?
৭
‘ভানুসিংহ’ কার ছদ্ম নাম?
সঠিক উত্তর:করবীন্দ্রনাথ ঠাকুর
৮
কত সালে জাতির পিতা বঙ্গবন্ধু শেখ মুজিবুর রহমানকে ‘জুলিও কুরি’ পদকে ভূষিত করা হয়?
৯
‘সঞ্চয়িতা’ কার রচনা?
সঠিক উত্তর:খরবীন্দ্রনাথ ঠাকুর
১০
কাজী নজরুল ইসলামের ‘বিদ্রোহী’ কবিতাটি কোন পত্রিকায় প্রকাশিত হয়?
সঠিক উত্তর:খসাপ্তাহিক বিজলী
১১
‘পাবক’ এর সমার্থক শব্দ কোনটি?
১২
‘অলীক’ এর বিপরীত শব্দ কোনটি?
১৩
‘সুলতানার স্বপ্ন’ বেগম রোকেয়া সাখাওয়াত হোসেন রচিত –
১৪
‘বন্দি শিবির থেকে’ গ্রন্থটি কার লেখা?
সঠিক উত্তর:খশামসুর রাহমান
১৫
‘আকাশ কুসুম’ বাগধারাটির অর্থ কী?
সঠিক উত্তর:ঘঅসম্ভব কল্পনা
১৬
‘Ratio’ শব্দটির পারিভাষিক রূপ কোনটি?
১৭
অর্থানুসারে শব্দ কত প্রকার?
১৮
‘বাবা বাড়ি নেই’ – বাক্যটিতে বাড়ি কোন কারকে কোন বিভক্তি?
সঠিক উত্তর:ঘঅধিকরণে শূন্য
১৯
‘তেপান্তর’ কোন সমাসের উদাহরণ?
২০
‘অন্যদিকে মন নেই যার’ বাক্যটির এক কথায় প্রকাশ কোনটি?
২১
‘বনস্পতি’ শব্দটির সন্ধি বিচ্ছেদ কোনটি?
ব্যাখ্যা:আধুনিক বাংলা অভিধান অনুযায়ী ‘বনঃ + পতি’ সঠিক। আবার, ৯ম-১০ম শ্রেণির বাংলা ব্যাকরণ অনুযায়ী ‘বন + পতি’ সঠিক। অধিক গ্রহণযোগ্য উত্তর হিসেবে ‘বন + পতি’ কে সঠিক উত্তর হিসেবে নেয়া হয়েছে।
২২
‘কর্তব্য’ শব্দের প্রকৃতি ও প্রত্যয় কোনটি?
২৩
উপসর্গ কোন জাতীয় শব্দাংশ?
২৪
কমা অপেক্ষা বেশি বিরতির প্রয়োজন হলে কোন বিরাম চিহ্ন বসে?
২৫
শরৎচন্দ্র চট্টোপাধ্যায়কে সম্মানসূচক ডিলিট ডিগ্রি প্রদান করে কোন বিশ্ববিদ্যালয়?
সঠিক উত্তর:খঢাকা বিশ্ববিদ্যালয়
২৬
“To read between the lines” means-
সঠিক উত্তর:গto grasp the hidden meaning
২৭
______ mother rose in her.
২৮
______, I would have called her.
সঠিক উত্তর:খIf Rina had seen me
২৯
Do you enjoy teaching? The underlined word is-
৩০
English _____ across the world.
৩১
Who will help you? The passive form is-
সঠিক উত্তর:কBy whom will you be helped?
খBy whom you will be helped?
গBy whom will you helped?
ঘBy whom would be helped?
৩২
I am used _____ in crowded places.
৩৩
A speech full of many words is_____.
সঠিক উত্তর:ঘa verbose speech
৩৪
The enemy gave in at last. Here “gave in” means-
৩৫
The phrase “get the axe” means-
৩৬
The spectator was a lady, ______ ?
৩৭
Now many women are working _______ home with men.
৩৮
The verb form of ‘deceit’ is-
৩৯
The singular form of ‘criteria’ is-
৪০
The ‘adjective’ form of ‘contribution’ is-
নোটিশ: সঠিক উত্তর নেই
ব্যাখ্যা:অপশনে সঠিক উত্তর নেই। সঠিক উত্তর হবে Contributory/Contributive.
৪১
Move and die. ____ Make it simple :
কIf you move, you will die.
সঠিক উত্তর:খBy moving you will die.
গWithout moving you will die.
ঘIf you do not move, you will die.
৪২
The synonym of ‘intimidate’ is-
৪৩
Choose the correct answer :
কA few number of students were present.
খA few number of students was present.
গA few number of student were present.
সঠিক উত্তর:ঘA small number of students were present.
৪৪
The antonym of the word ‘delete’ is-
৪৫
“A letter is going to be written by me” _____ Make it active:
সঠিক উত্তর:কI am going to write a letter.
ঘI will be going to write a letter.
৪৬
Beat about the bush -এর সঠিক অনুবাদ :
খঅন্ধের কিবা রাত্রি কিবা দিন
গযেখানে দেখিবে ছাই উড়াইয়া দেখ তাই
নোটিশ: সঠিক উত্তর নেই
ব্যাখ্যা:অপশনে সঠিক উত্তর নেই। সঠিক অনুবাদ হবে- মূল বিষয়ে প্রবেশ না করে ঐ বিষয়টি সম্পর্কে এলোপাতাড়ি কিছু বলা।]
৪৭
ধূমপান স্বাস্থ্যের জন্য ক্ষতিকর Correct translation in English:
সঠিক উত্তর:কSmoking is bad for health.
খSmoking is telling upon health.
গSmoking was a bad habit.
ঘSmoking is dangerous for health.
৪৮
He visits the school off and on. “Off and on” means :
৪৯
I have left the room but he (enter) the room :
৫০
What is the time _______ your watch?
৫১
৯ জন শ্রমিক ৪ দিনে ১৮০০ টাকা আয় করেন। ৬ জন শ্রমিক কত দিনে সমপরিমাণ অর্থ আয় করবেন?
৫২
পুত্র ও পিতার বর্তমান বয়সের পার্থক্য ২০। ৮ বছর পর তাদের বয়সের সমষ্টি ৭২ বছর হলে পুত্রের বর্তমান বয়স –
৫৩
৬৩০০ সংখ্যাটিকে কত দ্বারা গুণ করলে সংখ্যাটি পূর্ণবর্গ হবে?
৫৪
একটি সমিতিতে যতজন সদস্য আছে প্রত্যেকে তত ১৫.০০ টাকা করে চাঁদা দেওয়ায় মোট ৭৩৫ টাকা হলো। সদস্য সংখ্যা কত?
৫৫
সরলসুদে কোনো আসল ১২ বছরে সুদে-আসলে চারগুণ হলে সুদের হার কত?
৫৬
২৪০ টাকায় ১২টি কমলা ক্রয় করে ২০০ টাকায় ৮টি কমলা বিক্রয় করলে শতকরা কত লাভ বা ক্ষতি হবে?
৫৭
দুইটি সংখ্যার অনুপাত ৪ : ৫ এবং তাদের ল.সা.গু. ১৬০ হলে ক্ষুদ্রতর সংখ্যাটি কত?
৫৮
কোনো একটি শ্রেণিতে ১১ জন শিক্ষার্থীর বয়সের গড় ১৩ বছর। ৩ শিক্ষার্থী নতুন ভর্তি হওয়ায় বয়সের গড় হলো ১২ বছর। নতুন ৩ জন শিক্ষার্থীর বয়সের সমষ্টি কত বছর?
৫৯
৫০ ও ১০০ এর মধ্যবর্তী বৃহত্তম ও ক্ষুদ্রতম মৌলিক সংখ্যাদ্বয়ের গড় কত?
৬০
secθ = 2 হলে cotθ এর মান-
৬১
x + y + z = 7 এবং xy + yz + zx = 10 হলে x2 + y2 + z2 এর মান-
৬২
2 × 43x – 5 = 512 হলে x এর মান-
৬৩
x2 – 3x + 1 = 0 হলে (x – 1/x)4 এর মান-
৬৪
a + b = √7, a – b = √3 হলে 5ab এর মান –
৬৬
log2√2x = 4 হলে x এর মান-
৬৭
x – 1/x = 6 হলে x/(x2 + 7x – 1) এর মান-
৬৮
x – y = 3 হলে x3 – y3 – 9xy এর মান –
৬৯
একটি খুঁটির ছায়ার দৈর্ঘ্য তার উচ্চতার √3 গুণ হলে সূর্যের উন্নতি কোণ-
৭০
একটি বর্গক্ষেত্রের কর্ণের দৈর্ঘ্য 4√2 একক হলে বর্গক্ষেত্রের পরিসীমা কত একক?
৭১
একটি আয়তক্ষেত্রের পরিসীমা 44 মিটার। এর দৈর্ঘ্য, প্রস্থ অপেক্ষা 4 মিটার বেশি। উহার দৈর্ঘ্য ও প্রস্থের অনুপাত কত?
৭২
একটি ট্রাপিজিয়ামের সমান্তরাল বাহুদ্বয়ের দৈর্ঘ্য 10 সেমি. ও ৪ সেমি.। উহার ক্ষেত্রফল 63 বর্গসেমি. হলে, সমান্তরাল বাহুদ্বয়ের মধ্যবর্তী দূরত্ব কত সেমি?
৭৩
একটি বৃত্তের ক্ষেত্রফলের দ্বিগুণের সাথে পরিধির অনুপাত হলো-
৭৪
একটি বৃত্তে একই চাপের উপর অবস্থিত কেন্দ্রস্থ কোণ 140° হলে, উক্ত চাপের উপর অবস্থিত বৃত্তস্থ কোণের মান-
৭৫
ABCD রম্বসের ∠ABC = 120° এবং কর্ণদ্বয়ের ছেদবিন্দু O । OE ⊥ AB হলে, ∠BOE = কত?
৭৬
পুণ্ড্রনগর কোন জেলায় অবস্থিত?
৭৭
বাংলাদেশের সর্ববৃহৎ বায়ু বিদ্যুৎ কেন্দ্র কোথায় অবস্থিত?
৭৮
পুলিশী সাহায্য পাওয়ার শর্টকোড কোনটি?
৭৯
দেশের প্রথম টানেলের দৈর্ঘ্য কত কিলোমিটার?
৮০
বাংলাদেশের সর্ববৃহৎ গণহত্যাটি কোথায় হয়?
৮১
ভারত কর্তৃক সম্প্রতি চাঁদে প্রেরিত চন্দ্রযানের নাম কী?
৮২
সার্বজনীন পেনশন ব্যবস্থাপনা বিল-২০২৩ পাস হয় কবে?
সঠিক উত্তর:খ২৪ জানুয়ারি-২০২৩
৮৩
“আমার দেখা নয়াচীন” কে লিখেছেন?
সঠিক উত্তর:ঘশেখ মুজিবুর রহমান
৮৪
‘সিন্দুরী’ বাংলাদেশের কৃষিক্ষেত্রে কীসের নাম?
৮৫
জাতীয় পতাকা ১৯৭১ সালের কোন তারিখে প্রথম উত্তোলিত হয়?
৮৬
২০২৩ সালে শান্তিতে নোবেল পুরস্কার লাভ করেন কে?
সঠিক উত্তর:কনার্গিস মোহাম্মদী
৮৭
বান্দুং শহরটি কোন দেশে অবস্থিত?
৮৮
গ্রিন পিস কী?
সঠিক উত্তর:ঘপরিবেশবাদী সংগঠন
৮৯
খাদ্যশক্তি কীসের মাধ্যমে পরিমাপ করা হয়?
সঠিক উত্তর:ঘকিলো ক্যালোরী
৯০
অতিবেগুনি রশ্মি কোথা থেকে আসে?
৯১
কম্পিউটার শব্দের অর্থ কী?
সঠিক উত্তর:খগণনাকারী যন্ত্র
৯২
বৌদ্ধ ধর্মের বিখ্যাত নিদর্শন তক্ষশীলা কোথায় অবস্থিত?
৯৩
কোথায় বস্তুর ওজন সবচেয়ে কম?
সঠিক উত্তর:গনিরক্ষীয় অঞ্চলে
৯৪
জাতীয় সংবিধান দিবস কত তারিখে পালিত হয়?
৯৭
গ্রিনিচ মান সময় অপেক্ষা বাংলাদেশের সময় কত ঘণ্টা আগে?
৯৮
বিশ্ব অটিজম দিবস কবে পালিত হয়?
৯৯
বর্তমান বৃহত্তম ঢাকা জেলা প্রাচীনকালে কোন জনপদের অন্তর্ভুক্ত ছিল?
১০০
লোহিত সাগর কোন দুটি মহাদেশকে আলাদা করেছে?
সঠিক উত্তর:ঘআফ্রিকা ও এশিয়া
শিক্ষক নিবন্ধন পরীক্ষায় প্রশ্নের ধরন বুঝতে এবং কমন পেতে বিগত বছরের প্রশ্ন বিশ্লেষণ করা অপরিহার্য। এর প্রধান কারণগুলো হলো:
যেহেতু ১৮ তম শিক্ষক নিবন্ধন পরীক্ষা সর্বশেষ সিলেবাস এবং মানবণ্টন অনুসারে অনুষ্ঠিত হয়েছে, তাই আপনার সামগ্রিক প্রস্তুতিতে এটি সবচেয়ে বেশি গুরুত্ব বহন করে।
উল্লেখ্য যে, গত ৯ ডিসেম্বর ২০২৫ তারিখে প্রকাশিত হওয়া গ্যাজেট অনুযায়ী, ১৮ তম শিক্ষক নিবন্ধন এর পরবর্তী শিক্ষক নিবন্ধন পরীক্ষাগুলোতে কোন লিখিত পরীক্ষা থাকছে না।
আপনার প্রস্তুতির সুবিধার্থে ১৮ তম শিক্ষক নিবন্ধনের গুরুত্বপূর্ণ কিছু তথ্য ও উপাত্ত ছক আকারে উওস্থাপন করা হল
আশা করি ১৮ম শিক্ষক নিবন্ধন প্রশ্ন সমাধান PDF আপনার প্রস্তুতিকে আরও এগিয়ে নিতে সহায়ক হবে। শিক্ষক নিবন্ধনসহ যেকোনো চাকরির পরীক্ষার নির্ভুল উত্তর ও নির্ভরযোগ্য ব্যাখ্যাসহ সমাধান PDF পেতে নিয়মিত ভিজিট করুন MCQ AID Job Solution।